Overview
Study F: 32,400 runs | 9 DGPs | 6 pre-processing variants | 0.0% failures
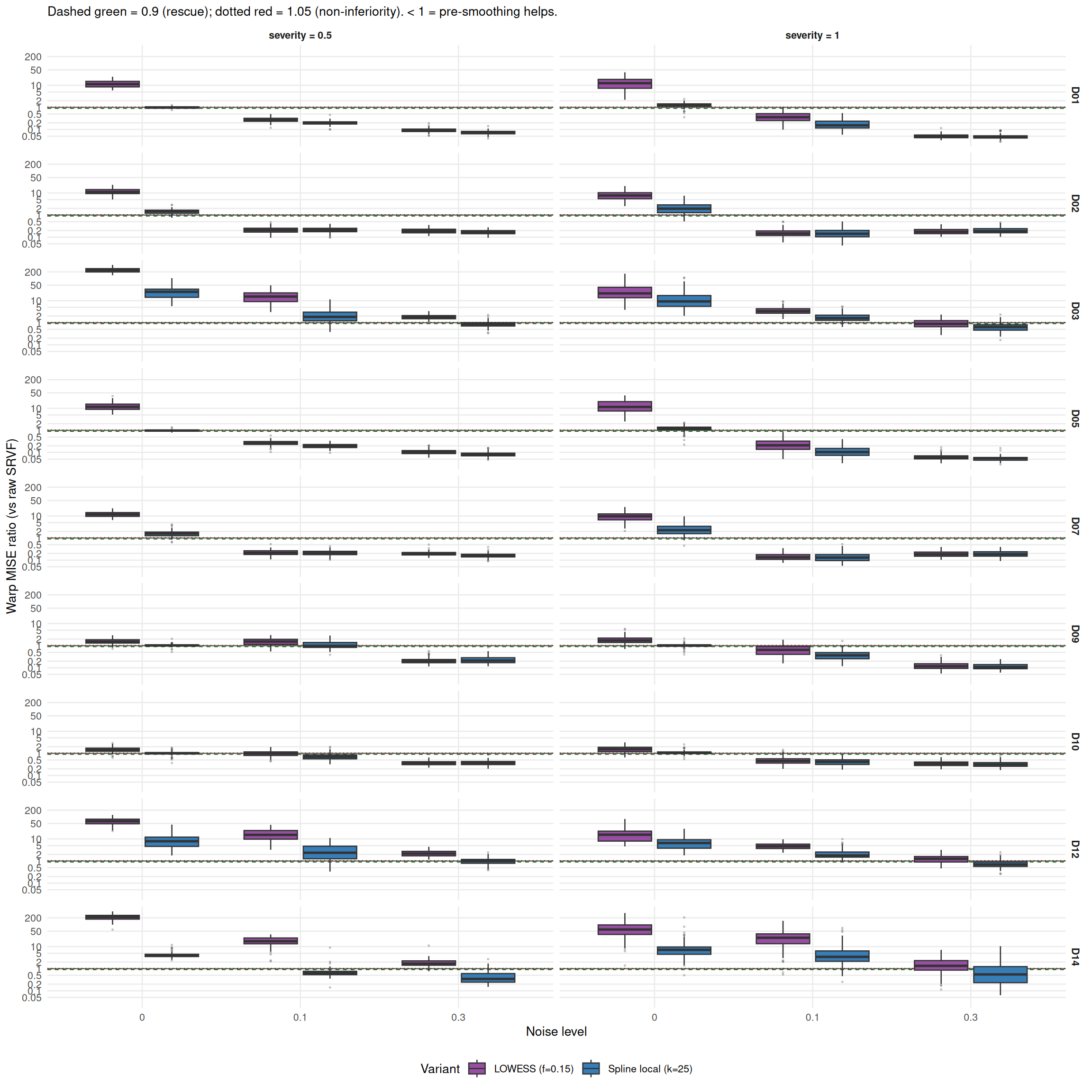
- Weak DGPs (SRVF degrades under noise in Study A): D01, D02, D05, D07, D09, D10
- Control DGPs (wiggly templates, harder to smooth): D03, D12, D14
- Method: SRVF only (all variants)
- Design: 9 DGPs x 6 variants x 3 noise x 2 severity x 100 reps
- Evaluation: Warps estimated from pre-smoothed curves, then transferred back to raw curves for comparable metrics
Primary Estimand: Paired Log-Ratio
The primary estimand is the paired log-ratio of warp MISE (pre-smoothed vs raw SRVF) on the same (dgp, rep) seed. Negative values mean pre-smoothing helps.
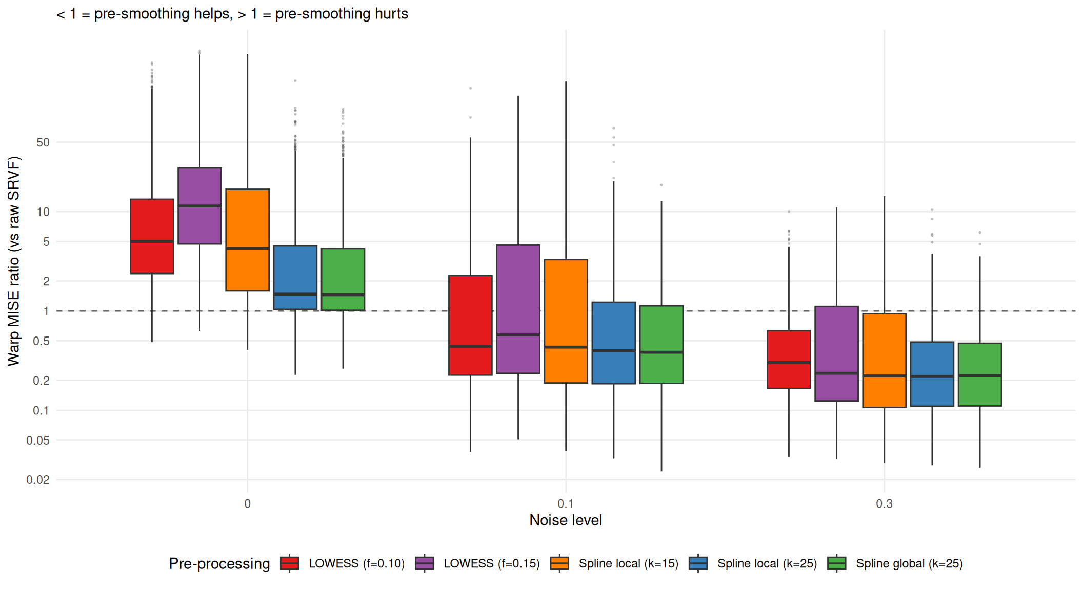
All Variants: Warp MISE Ratio Distribution
Median warp MISE ratio (variant / raw SRVF) and % of runs improved, by noise level.
| lowess_f010 |
5.03 |
0.44 |
0.30 |
2.44 |
64.9 |
84.9 |
| lowess_f015 |
11.41 |
0.57 |
0.24 |
1.78 |
58.0 |
73.8 |
| spline_local_k15 |
4.25 |
0.43 |
0.22 |
6.72 |
61.8 |
76.2 |
| spline_local_k25 |
1.48 |
0.40 |
0.22 |
18.50 |
70.8 |
91.9 |
| spline_global_k25 |
1.46 |
0.38 |
0.22 |
22.22 |
71.7 |
94.7 |
Primary Variants: Cell-Level Ratio Distribution
Study-Level Decision Rule
Study-level decision rule for the two primary variants.
| lowess_f015 |
22 |
24 |
1 |
30 |
FALSE |
| spline_local_k25 |
23 |
24 |
11 |
30 |
FALSE |
LOWESS (f=0.15): 22/24 rescue cells pass, 1/30 control cells pass non-inferiority. Not plausible as unconditional default.
Spline local (k=25): 23/24 rescue cells pass, 11/30 control cells pass non-inferiority. Not plausible as unconditional default.
Cross-Over Analysis
- Control DGPs, severity=0.5: cross-over between noise 0.1 and 0.3
- Control DGPs, severity=1: cross-over between noise 0.1 and 0.3
- Weak DGPs, severity=0.5: cross-over between noise 0 and 0.1
- Weak DGPs, severity=1: cross-over between noise 0 and 0.1
Secondary Metrics
Template Quality
Median template MISE by variant and noise level.
| none |
0.0050 |
0.0740 |
0.1423 |
| lowess_f010 |
0.0333 |
0.0158 |
0.0186 |
| lowess_f015 |
0.0836 |
0.0491 |
0.0382 |
| spline_local_k15 |
0.0125 |
0.0131 |
0.0195 |
| spline_local_k25 |
0.0059 |
0.0068 |
0.0131 |
| spline_global_k25 |
0.0057 |
0.0067 |
0.0141 |
Median template elastic distance by variant and noise level.
| none |
0.150 |
0.717 |
1.929 |
| lowess_f010 |
0.347 |
0.263 |
0.424 |
| lowess_f015 |
0.531 |
0.445 |
0.411 |
| spline_local_k15 |
0.204 |
0.216 |
0.277 |
| spline_local_k25 |
0.159 |
0.202 |
0.263 |
| spline_global_k25 |
0.158 |
0.215 |
0.307 |
Alignment Error
Median alignment error by variant and noise level.
| none |
0.0077 |
0.0513 |
0.301 |
| lowess_f010 |
0.0440 |
0.0394 |
0.115 |
| lowess_f015 |
0.0722 |
0.0573 |
0.113 |
| spline_local_k15 |
0.0403 |
0.0488 |
0.114 |
| spline_local_k25 |
0.0230 |
0.0319 |
0.103 |
| spline_global_k25 |
0.0231 |
0.0321 |
0.103 |
Per-DGP Breakdown
Warp MISE by DGP and Variant
Per-DGP Improvement at Highest Noise
Median warp MISE ratio by DGP (noise=0.3, severity=1.0). Values < 1 indicate improvement.
| D01 |
Weak |
0.048 |
0.046 |
0.046 |
| D02 |
Weak |
0.175 |
0.188 |
0.211 |
| D03 |
Control |
0.890 |
0.639 |
0.583 |
| D05 |
Weak |
0.059 |
0.055 |
0.057 |
| D07 |
Weak |
0.184 |
0.186 |
0.223 |
| D09 |
Weak |
0.117 |
0.108 |
0.113 |
| D10 |
Weak |
0.341 |
0.313 |
0.349 |
| D12 |
Control |
1.260 |
0.699 |
0.738 |
| D14 |
Control |
1.343 |
0.550 |
0.511 |
Variant Comparison
Mean rank across cells by variant and noise level.
| none |
1.33 |
4.17 |
5.33 |
| lowess_f010 |
4.67 |
3.44 |
4.22 |
| lowess_f015 |
6.00 |
5.11 |
3.83 |
| spline_local_k15 |
4.22 |
3.78 |
3.11 |
| spline_local_k25 |
2.56 |
2.44 |
2.22 |
| spline_global_k25 |
2.22 |
2.06 |
2.28 |
Ratio Distributions by DGP Group
Comparison with Study A
Template Elastic Distance
Summary Table
Pooled median warp_mise across 9 Study F DGPs by noise level.
| SRVF (raw) |
0.0017 |
0.0065 |
| SRVF + spline(k=25) |
0.0008 |
0.0016 |
| cc_default |
0.0045 |
0.0036 |
| cc_crit1 |
0.0043 |
0.0041 |
| affine_ss |
0.0527 |
0.0433 |
| landmark_auto |
0.0110 |
0.0123 |
Pooled median alignment_error across 9 Study F DGPs by noise level.
| SRVF (raw) |
0.0533 |
0.307 |
| SRVF + spline(k=25) |
0.0304 |
0.101 |
| cc_default |
0.0959 |
0.142 |
| cc_crit1 |
0.1769 |
0.196 |
| affine_ss |
0.2163 |
0.209 |
| landmark_auto |
0.3438 |
0.466 |
Pooled median template_mise across 9 Study F DGPs by noise level.
| SRVF (raw) |
0.0702 |
0.1528 |
| SRVF + spline(k=25) |
0.0064 |
0.0127 |
| cc_default |
0.0322 |
0.0329 |
| cc_crit1 |
0.0840 |
0.0675 |
| affine_ss |
0.0842 |
0.0644 |
| landmark_auto |
0.0466 |
0.0655 |
Pooled median elastic_dist across 9 Study F DGPs by noise level.
| SRVF (raw) |
0.706 |
1.909 |
| SRVF + spline(k=25) |
0.188 |
0.262 |
| cc_default |
0.309 |
0.937 |
| cc_crit1 |
0.289 |
0.917 |
| affine_ss |
0.875 |
1.004 |
| landmark_auto |
0.333 |
0.830 |
Pooled median time across 9 Study F DGPs by noise level.
| SRVF (raw) |
4.494 |
4.442 |
| SRVF + spline(k=25) |
4.699 |
4.641 |
| cc_default |
8.053 |
6.263 |
| cc_crit1 |
10.991 |
9.924 |
| affine_ss |
5.874 |
4.724 |
| landmark_auto |
0.172 |
0.172 |
Timing
Pre-smoothing adds ~0.2s overhead per run:
| lowess_f010 |
4.48 |
| lowess_f015 |
4.48 |
| none |
4.49 |
| spline_global_k25 |
4.54 |
| spline_local_k15 |
4.61 |
| spline_local_k25 |
4.68 |
Conclusions
Pre-smoothing strongly rescues SRVF under noise: The best variant (spline_local_k25) reduces median warp MISE by 73% under noise (pooled across noise > 0).
Pre-smoothing hurts in clean settings: Even the least harmful variant (spline_global_k25) inflates warp MISE by 1.46x at noise = 0.
Neither primary variant qualifies as an unconditional default: Both fail too many control cells for non-inferiority, primarily because of the clean-data penalty.
Noise-adaptive recommendation: Pre-smoothing with penalized splines (k=25) is strongly beneficial when noise is known to be present (noise >= 0.1 for weak DGPs, noise >= 0.3 for all DGPs). It should be offered as an option with guidance, not as the default.
Spline variants dominate LOWESS: Penalized splines (k=25) produce less clean-data harm and comparable or better noise rescue than LOWESS smoothing.
Timing is not a concern: Pre-smoothing adds ~0.2s overhead per run.